Static Deflection Analysis of Novel Bike
Handlebar using Finite Element Method
The following is a snapshot of my final paper for the graduate course, Finite Element Method, taught by Dr. Johann Guilleminot through Duke University in fall 2020.
I chose this project not only because a nuanced understanding of the finite element method is a foundational skill set for design engineering problems, but also because it allowed me to further my experience and interest in novel bike technology as it relates to the rider experience. I now feel confident in producing quality simulations in programs such as SolidWorks and Ansys, and will use this as a platform to jump into composite materials analysis for carbon fiber components.
Abstract
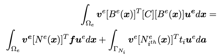
The importance and details of finite element method conceptual mathematical model is fully explained,
and its import on physical problems is discussed with respect to Canyon Bicycle’s novel Hoverbar handlebars and a standard handlebar for comparison. Static structural analysis is performed on the two
handlebar designs using ANSYS Mechanical with a material assumption of 6061 Aluminum alloy. The
standard handlebar design surprisingly exhibits 1.3× greater compliance than the new Hoverbar design,
confirmed through H-refinement and mesh convergence analysis. CAD modeling differences and material assumptions play a role in these results, and further exploration into alternative modeling studies is
recommended.
Finite Element Method Theory
After a thorough treatment of the domain and boundary assumptions, material properties, force-balance equation, and constitutive model, I identified the strong form of the finite element formulation. This equation represents the ‘problem’ to be solved through the finite element method, specifying the tractions and trial functions under consideration.


I derived weak form of the governing equation using fundamental FEM strategies, and proceeded to arrange it into the linear system comprised of the stiffness matrix, [K], the displacement vector [u], the force vector [F], and the reaction force, [R]. Through computational calculation and assembly of the individual element matrices via the weak form of the governing equation, the deflection over the whole domain is determined.
Project Scope
I modeled both the Canyon HoverBar and a standard bar of similar dimensions in AutoDesk Fusion360 and transferred the files into Ansys Mechanical for mesh generation and solving. Due to the complexity and ambiguity of the carbon fiber layup schedule used by Canyon’s handlebar manufacturing team, I opted to model the bars with hollow aluminum alloy material specs. Given the aim of the paper, this surely affected the results, but still allowed an interesting view of stress concentration locations between the two designs.


Simulation Results
- Linear Tetrahedral
- Quadratic Tetrahedral
- H-Refinement
- Ultimate Deformation